測定原理
測定原理について以下に説明する。EM-FRMでは、測定によって得られた電子部品周辺の磁場の2次元磁場データマトリックスを用いて、電子部品内部の磁場分布を再構成する。磁気発生源が電子部品内部に存在し、磁気センサの周辺部に磁気発生源が存在しない場合、磁気センサ周辺の磁場ベクトルの特定成分に関する基礎方程式は、ラプラスの方程式となる。
たとえばXYZ直交座標系における磁場ベクトルのZ成分Hz(x,y,z)に関して、以下の数式(1)が成り立つ。
この方程式の一般解は、以下の数式(2)のように表される。
ただし、kx,kyはx, y方向の波数である。
この式(2)のa(kx, ky)、b(kx, ky)を、測定によって得られたXY平面の2次元磁場データマトリックスから決定する。図1に、XYZ直交座標系における測定面と再構成面の位置関係を示す。測定によって、z=0における磁場ベクトルのZ成分
Hz(x,y,0) および磁場ベクトルのZ成分のZ方向の勾配

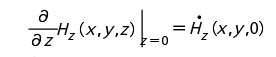
を用いて、式(2)のa(kx, ky)、b(kx, ky)が求められ、式(2)は以下の数式(3)のように表現される。
ただし、hz(kx, ky)、hz(kx, ky)は、Hz(x,y,0)、Hz(x,y,0)を2次元フーリエ変換したものである。
測定データが磁場ベクトルのZ成分の高階Z微分の2次元データマトリックスであった場合でも同様に
a(kx, ky)、b(kx, ky)を決定し、Hz(x,y,z)の再構成を行うことができる。
図2に再構成の計算プロセスを示す。測定試料から異なる距離において、2つの磁場ベクトルZ成分の2次元磁場データマトリックスを取得し、その差を『距離の差』で割ったものをHz(x,y,0)として近似する。得られたHz(x,y,0)、
Hz(x,y,0)をそれぞれ2次元フーリエ変換し、数式(3)に代入することにより、測定面から離れた領域の磁場分布を再構成することができる。
本再構成法EM-FRMの特徴として、磁場発生源が磁場測定面の両側に含まれても正確に、部品内部の磁場分布を再構成可能である点があげられる(図3)。実際の測定では、磁気センサの上部、下部双方に、信号処理回路などのさまざまな磁場発生源が存在するため、本再構成法はさまざまな環境磁場が存在する中で利用可能な方法といえる。

数式2

数式3
装置構成

図4 走査型トンネル磁気抵抗効果顕微鏡の模式図
EM-FRMに必要となる2次元磁場データマトリックスを測定する走査型トンネル磁気抵抗効果顕微鏡装置の装置構成を以下に説明する。走査型トンネル磁気抵抗効果顕微鏡の装置構成図を図4に示す。TMR(Tunneling Magnetoresistance)センサは、外部磁場により磁化方向が変化しない磁性体のピン層と外部磁場によって磁化方向が変化する磁性体のソフト層との間に厚さ数nmの絶縁層の3層構造をしており、外部磁場により両サイドの磁性体の間の抵抗変化を磁場強度として検出する。プリアンプを介して16ビットのADボードを有するPCへ信号が取り込まれる。ステッピングモータで駆動するZステージ、Yステージ、XステージはPCからの制御によりTMRセンサを走査することができ、走査エリアの磁場分布(2次元磁場データマトリックス)が得られる。TMRセンサの姿勢は、素子の膜が走査するY軸に対して直交するように組み立てられており、検出できる磁場はZ方向成分である。試料を手動のZステージに固定した後、TMRセンサとの間隔を調整して試料のセッティングは完了する。独自に開発したプログラムを用いて自動運転により2次元磁場データマトリックスが得られる。測定結果から上述の再構成アルゴリズムEM-FRMを用いて任意高さの磁場分布が得られる。
- 会社名
- 神戸大学/木村 建次郎、美馬 勇輝 大阪大学/木村 憲明 京都大学/大藪 範昭 (株)村田製作所/稲男 健
- 所在地

-
真空リフロー、N2リフロー、エアリフローのことなら、エイテックテクトロン(株)にお任せください。フラックスレス真空リフロー装置販売開始!エイテックテクトロン株式会社
-
独自の加工技術とノウハウで様々な材料にチャレンジ 〜色々なアイデアを生み出して研究者をサポート〜 ムソー工業株式会社 代表取締役 尾針 徹治 氏Gichoビジネスコミュニケーションズ株式会社
-
話題のGlass PKG実装技術の動向 〜先端電子部品への応用と 最新のCuダイレクトめっきGWCについて〜 Grand Joint Technology Ltd 大西 哲也(T. Onishi)Gichoビジネスコミュニケーションズ株式会社







.gif)




